REPERAGE DANS UN PLAN: les projections

Retour liste         Boule verte

Objectif précédent   Sphère metallique

Objectif suivant :

« Projection » …généralités….

Pré Requis       Sphère metallique

 

DOSSIER       LES PROJECTIONS … COURS….

TEST

           FilesOfficeverte

COURS

                FilesOfficeverte

Devoir  Contrôle FilesOfficeverte

Devoir évaluation FilesOfficeverte

Interdisciplinarité

                        Filescrosoft Officeverte

 

Corrigé Contrôle  FilesOfficeverte

Corrigé évaluation  FilesOfficeverte

 

Obj : PROJECTE sur...

 

 

 

 

 

 

Voir définition du mot « direction et sens ».

Mots utilisés dans l’objectif : le vecteur

Préambule :

   La projection  d ’ un point ; d’un segment (un ensemble de points alignés) implique que l’on doit connaître (ou se fixer) :

 

n  une direction  (c’est une droite )

n la position du point dans un plan ( en l’occurrence la feuille) et

n  la droite support qui recevra le « projeté du point » .

 

 

 

 

 

 

I)  Projection d’un point   sur une droite:

 

 

 

 

 

 

 

Il faut :

-        Une droite (d)

-        Une droite représentant la direction (delta) :  

-        Les deux droites forment un angle alpha :

proj2

 

 

 

 

 

 

On place entre ces deux droites un point « A » .

proj3

 

 

 

 

 

 

On trace une droite parallèle à  , cette droite coupe la droite (d) .

 

Cette intersection est un point nommé « A’ ».

 

On dit que l'on a effectué une projection du point « A » sur a droite (d)  .

proj4

 

 

 

 

 

 

 

 

 

 

             Le point  A’ est le projeté du point  A par rapport a la droite  d ;

 (le segment de droite AA’ est parallèle à la droite  d), sur la droite orientée  « axe » .

 

         La droite  d  indique la ligne direction de la projeté

 

proj5

 

 

 

 

 

 

 

 

 

 

 

 

 

 

 

 

 

 

 

 

 

 

Projeté d’un point suivant deux directions différentes.

projection_1_point_2_direct

 

 

 

 

 

 

 

 

 

 

 

 

 

 

Projeté dans sur un axe :

 

 

 

 

 

 

 

Projeté d’un point sur un axe «  »

proj7no

 

 

 

 

 

 

II) Projection de deux points sur une droite ( axe ) :

 

 

 

 

 

 

 

A’ est le projeté du point A  sur l’axe

 

B’ est le projeté  du point  B sur l’axe.

 

  A’ et B’  sont les projetée par rapport  à la droite de direction donnée    d

 

proj2no

 

 

 

 

 

 

Projeté d’un segment sur un axe.

proj1no

 

 

 

 

 

 

 

 

 

 

 

 

 

 

Projeté d’un point sur deux axes sécants.

 

 

 

 

 

 

 

III) Projection d’un segment de droite:  « x »

 

Avec A et B on construit le segment AB;

    Le segment   Ax Bx est le projeté  du segment  AB  sur la droite  « axe » ,par rapport à la droite d .

XA est l’abcisse du point  A;

 XB est l’abcisse du point B

 

proj3no

 

 

 

 

 

 

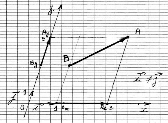
Projection  d’un segment sur une droite :   « y »

 

Avec  A et B on construit le segment   AB .

           By  est le projeté de B sur l’axe  « y ».

           Ay   est le projeté de A sur  l’axe  « y ».

 

Y  A  est l’ordonné du point A

Y  B  est l’ordonné du point B

 

proj5no

 

 

 

 

 

 

III) Projection d’un segment de droite:  « x »

 

Avec A et B on construit le segment AB;

    Le segment   Ax Bx est le projeté  du segment  AB  sur la droite  « axe » ,par rapport à la droite d .

XA est l’abscisse du point  A;

 XB est l’abscisse du point B

 

proj4no

 

 

 

 

 

 

IV ) Projection  d’un segment sur deux axes .

 

 

proj6

 

 

 

 

 

 

 

 

 

 

 

 

 

 

 

 

 

 

 

 

 

 

 

 

 

 

 

 

 

 

 

 

 

 

 

 

 

 

Projection orthogonale d’un point « A » puis d’un point « B »  sur une droite « d ».

 

proj_ortho_2_points

 

 

 

 

 

 

Projection orthogonale d’un point « A » puis d’un point « B »  sur une droite « d ».

 

"A'" et " « B' » sont les images  respectives de « A » et « B »  sur « d ».

 

proj_ortho_2_points_sol

 

 

 

 

 

 

Projection orthogonale du segment « »  sur une droite « d ».

 

 

 

« »  est le projeté orthogonal de « »   sur « »

 

 

 

 

project_ortho_seg_sur_1_droite

 

 

 

 

 

 

On place « C » dans le repère ……

 

Dessinez « C’ »  l’ image de « C » .

proj_ortho_3_points

 

 

 

 

 

 

Projection orthogonale de trois points sur une droite « d ».

 

 

Qui forment un triangle …

 

 

Remarque :    C’ A’ B’ est un segment … il est la projection de ABC  sur «  » .

proj_ortho_triangle

 

 

 

 

 

 

 

 

 

 

 

 

 

 

 

V)  Projection  d’un segment  sur  deux droites  sécantes

 

(appelé aussi repère cartésien ) ,cas courant le repère  est dit  «  cartésien    ortho - normé »  voir Objectif :....FL  et F affine )

 

Les segments de droites  AyBy   et  BxAx  sont  appelés les projetés  du segment   AB  .

 

 La norme permet de graduer les axes.

  Si la norme * sur x et y  est égale « mesure » le repère est dit « normé »

 

*Voir [O,I]  et  [ O, J ]

 

 

 

 

 

 

 

 

 

 

 

 

 

 

 

 

 

 

 

 

 

 

 

 

 

 

 

 

 

 

 

 

 

 

 

 

 

 

 

 

 

 

 

 

 

 

 


                                                                                                                                     

                                                                                                                                                                                      

                                                                                                

                                                                                                                                   

 

 

 

 

 

 

 

Cas particulier : PROJECTION ORTHOGONALE d’un point :

 

 

 

 

 

 

 

Repère orthogonal :   

repere_ortho

 

 

 

 

 

 

 

 

 

 

On fait la « projection orthogonale »d’un point « M » lorsque  la direction (delta) et la droite sur laquelle on trace « la projetée du point « M’ » » sont perpendiculaires.

 

 

 

 

 

 

 

 

 

repere_non_ortho_norme

 

 

 

 

 

 

 

repere_non_ortho_non_norme

 

 

 

 

 

 

 

 

 

 

 

 

 

 

 

 

 

 

 

 

 

 

 

reper_ortonorme_1pt_coord

 

 

 

 

 

 

 

 

 

 

 

 

 

 

repere_ortho_non_norrme

reper_ortonorme_coord_1pt

 

 

 

 

 

 

 

reper_non_ortho_non_norme_coord_1pt

 

 

 

 

 

 

 

 

 

 

 

 

 

 

 

 

 

 

 

 

 

 

 

 

 

 

 

 

 

 

 

 

 

 

 

 

 

 

 

 

 

 

 

 

 

 

 

 

 

 

 

 

(utile pour :Obj : symétrie orthogonale)

 

 

 

                                          y

 

                                       Ay                                                       A

 

 

 

 


                                         By                          B             

 

 

 

 

 


Bx                                Ax        x

 

 

 

Voir : Composantes d’un vecteur  et calcul de la NORME D’UN VECTEUR

 

 

 

 

reper_ortho_non_norme_coord_1ptreper_nonortononnorme_coord_1ptreper_nonortononnorme_1pt_coordrepe_nonorho_norme_coord_1ptrep4NONNvecturep4NONNvectrep4NONNsegcoordrep4NONNsegrep4NONNprojsegrep4NONN2ptrep3ONvecturep3ONvectrep3ONsegcoorrep3ONsegrep3ONprojsegrep3ON2ptrep2NONvecturep2NONvectrep2NONsegcoordrep2NONprojsegrep2NONNsegrep2NON2ptrep1ONNvecturep1ONNvectrep1ONNsegcoorrep1ONNprojsegrep1ONNNsegrep1ONN2ptrepere_ortho_norrme

Projection d’une surface sur  deux droites:

 

Amusez vous à nommer les points et  reportez leur projection.

Remarquer l’ordre des lettres à comparer avec le sens de lecture  des points d’une surface

 

 

 

 

 

 

 

 

 

 

 

 

 

 

 

 

 

 

 

 

 

 

 


FIN DU RAPPEL.

 

GEOMETRIE  DANS L’ESPACE.

 

 

Voir projection d’un point  ,d’un segment ,d’une surface , d’un volume dans un repère en trois dimensions  (dit dans l’espace )


 

 

EVALUATION :

 

 

A  )  Montrer par un dessin  ,la projection orthogonale d’un point .

 

 

D1

 

D

 

delta

 

M

 
I )  Soit le schéma  suivant ,tracez le projeté du point M par rapport à   « delta » sur la droite  D et la droite D1.
II  ) Soit un repère non orthogonal :  tracer les projetées du segment

 

 

 

 

 

 

 

 

 

 

 

 

 

 

 

 


B

 
III ) Soit un repère  orthonormé ( à compléter):  tracer les projections du segment   AB ; donner les coordonnées des deux points,

 


échelle1

 

 

 

 

 

 

 

 

 

 

 

 

 

 

 

 


Cet exercice sera repris  avec Obj : « Pythagore »

 

en vue de rechercher la norme d’un vecteur par le calcul

 

 
Composantes d’un vecteur:

 

Le vecteur Vx et le vecteur Vy  sont les composantes du vecteur   V.

    Ces composantes ont pour origine ,l’origine du vecteur   V ,pour direction , les parallèles aux droites  d et d ’ et pour extrémité des parallèles aux droites d et d ’ passant par  l’extrémité du vecteur V   I

 

 

 

 


                 d’   

                                           Vy           V

 

 

 
 

 


                                                                     Vx  

 

 

 


                                                                                 d

 

Projection des composantes d’un vecteur: Le vecteur  Vx   et  le vecteur Vy   sont  les projections  du vecteur

           V

 Nous avons  dessiné  le cas ou les projection sont orthogonales , parce que les axes  x et y sont orthogonaux

 

                 y

                       

 

 


               Vy

                                                          V

 

 

 


                                                                     

 

 

 


                                                                                                    x

                                                                Vx

 

CALCUL DES  COMPOSANTES D’UN VECTEUR:

 

V   ,   Vx   et    Vy          forme un triangle   « rectangle »  si le repère est orthonormé

 

A partir des coordonnées de l’origine est l’extrémité du vecteur ,on peut donc calculer toutes les caractéristiques du triangle.

 

Pour trouver les caractéristiques du triangle rectangle on fait appel :

  à  « Pythagore »

  ou  aux relations trigonométriques dans le triangle rectangle  (sinus, cosinus, tangente ,cotangente)

 

 

 

 


                                                      V

                                                                                   V y

 

 

 

 


                                                   Vx